FILL 10904
Summary
start: August 01, 2025 09:24:34 PM UTC
end: August 02, 2025 12:26:41 AM UTC
duration: 0 days 03:02:06.902000
tags:
- PHYSICS
comments:
-
1200B fill with collisions to monitor vacuum activity
-
No significant losses in IR2, test is OK
-
Dump by EPC trip (FGC crash)
Cycle duration

Beta-functions at the IPs

Crossing angles

Octupoles

Trims
Tune trims

Chromaticity Trims

Intensity
Cycle intensity

BBB SB intensity

Violin BBB intensity

SB bunch intensity

Bunch Length

Bunch Length Fill

Emittance
B1 along the cycle

B2 along the cycle

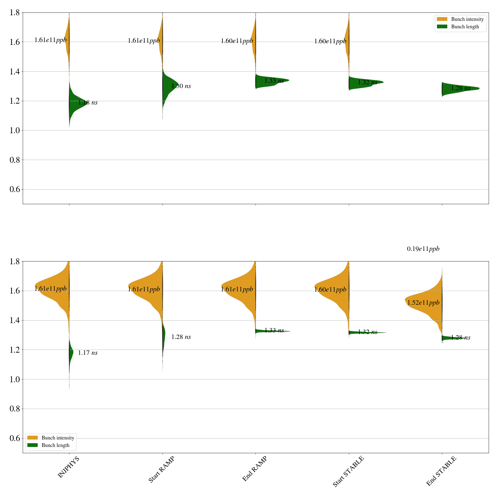
Summary violin plot

BBB in SB for B1

BBB in SB for B2

Bunch brightness

Beam properties summary

Luminosity
Overview

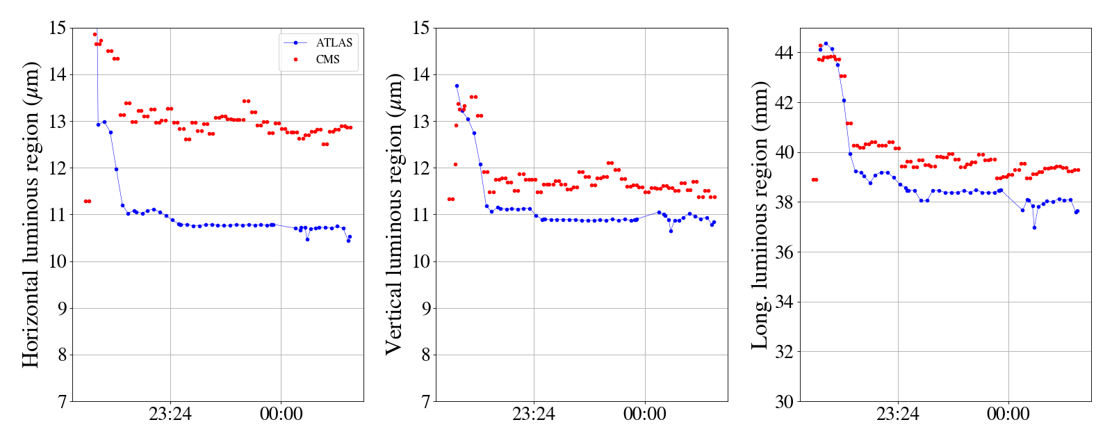
Luminous Regions

BBB luminosity in SB

Cross-sections
ADJUST





STABLE BEAM








MIM analysis
RAMP B1 H

RAMP B1 V

RAMP B2 H

RAMP B2 V

STABLE BEAM B1 H

STABLE BEAM B1 V

STABLE BEAM B2 H

STABLE BEAM B2 V

q-Gaussian profile analysis
B1 Horizontal

B1 Vertical

B2 Horizontal

B2 Vertical




