FILL 10986
Summary
start: August 28, 2025 12:40:34 PM UTC
end: August 28, 2025 06:21:25 PM UTC
duration: 0 days 05:40:51.474250
tags:
-
PHYSICS
-
RF_DUMP
comments:
-
Difficult filling due to SPS RF cavity 800 MHZ that trips, warning in IR3 at start of ramp
-
HOM temperature interlock on RF line 3B2
Cycle duration

Beta-functions at the IPs

Crossing angles

Trims
Tune trims

Intensity
Cycle intensity

BBB SB intensity

Violin BBB intensity

SB bunch intensity

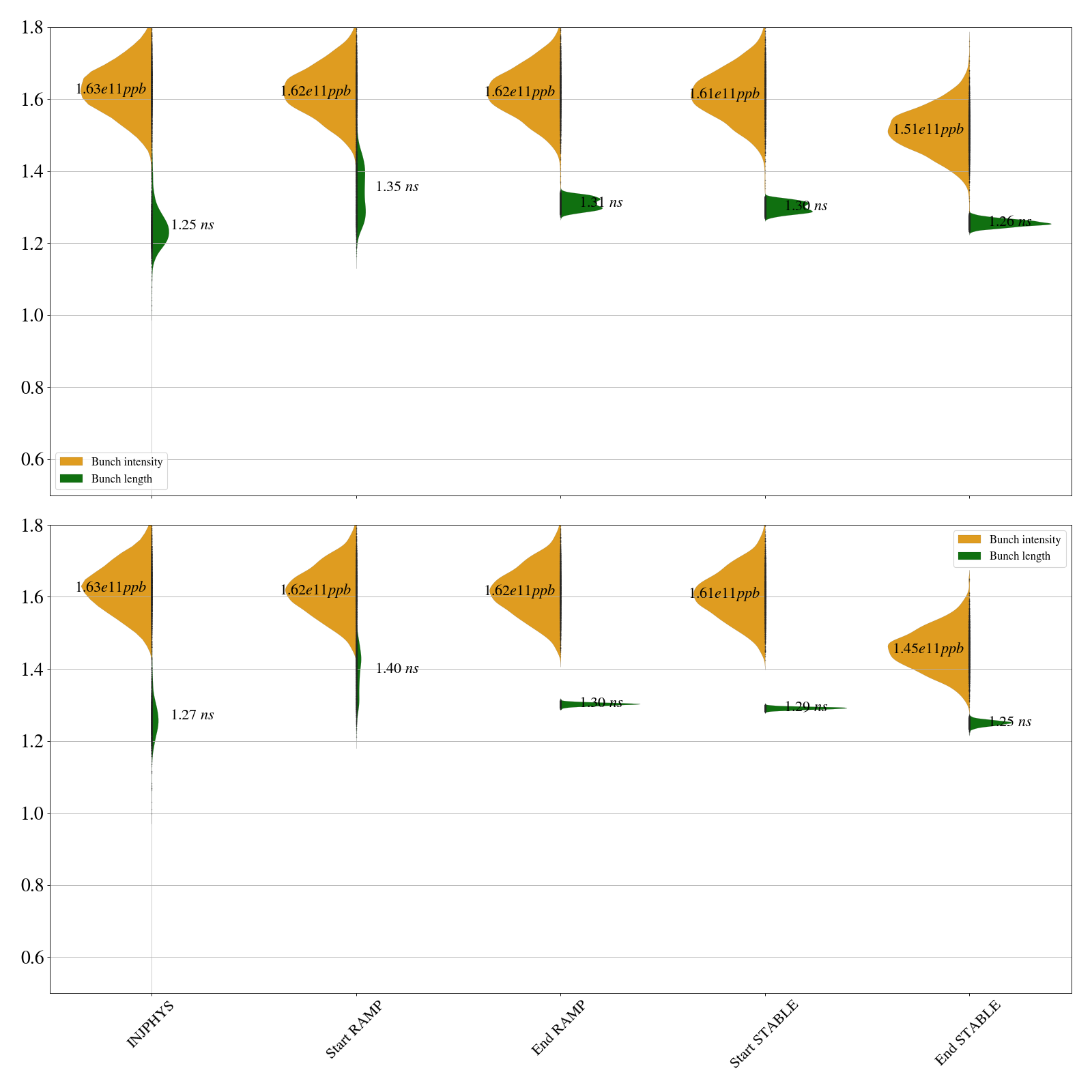
Bunch Length

Bunch Length Fill

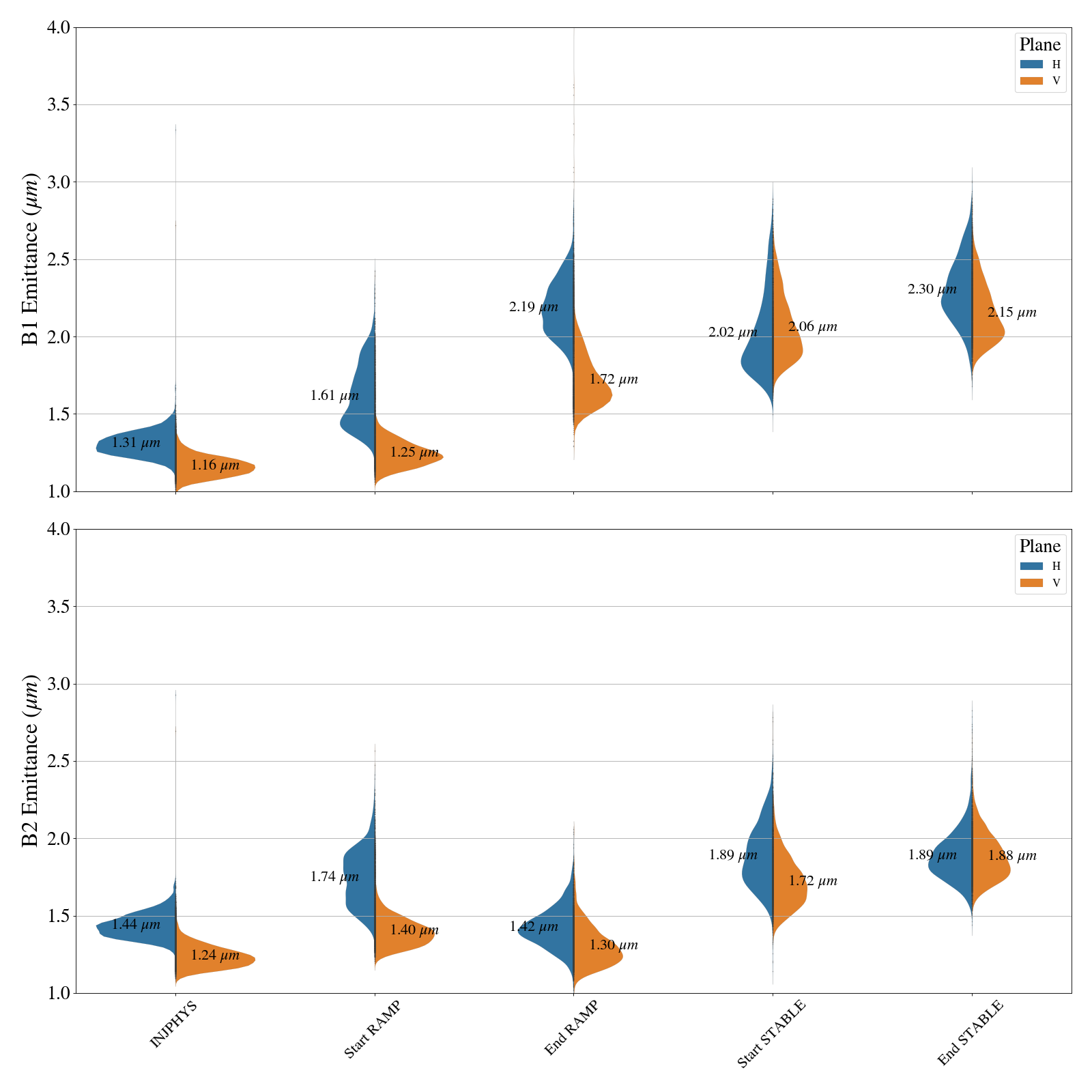
Emittance
B1 along the cycle

B2 along the cycle

Emittance growth at injection

Summary violin plot

BBB in SB for B1

BBB in SB for B2

Bunch brightness

Beam properties summary

Luminosity
Overview

Luminous Regions

BBB luminosity in SB

Cross-sections
ADJUST





STABLE BEAM








MIM analysis
RAMP B1 H

RAMP B1 V

RAMP B2 H

RAMP B2 V

STABLE BEAM B1 H

STABLE BEAM B1 V

STABLE BEAM B2 H

STABLE BEAM B2 V

q-Gaussian profile analysis
B1 Horizontal

B1 Vertical

B2 Horizontal

B2 Vertical




