FILL 11001
Summary
start: September 01, 2025 01:06:14 PM UTC
end: September 01, 2025 02:53:34 PM UTC
duration: 0 days 01:47:20.241000
tags:
- MD
comments:
- MD15146 Rematched IR7 optics for improved cleaning and impedance - high intesity part
Cycle duration

Beta-functions at the IPs

Crossing angles

Octupoles

Trims
Tune trims

Chromaticity Trims

Intensity
Cycle intensity

Violin BBB intensity

Bunch Length

Bunch Length Fill

Emittance
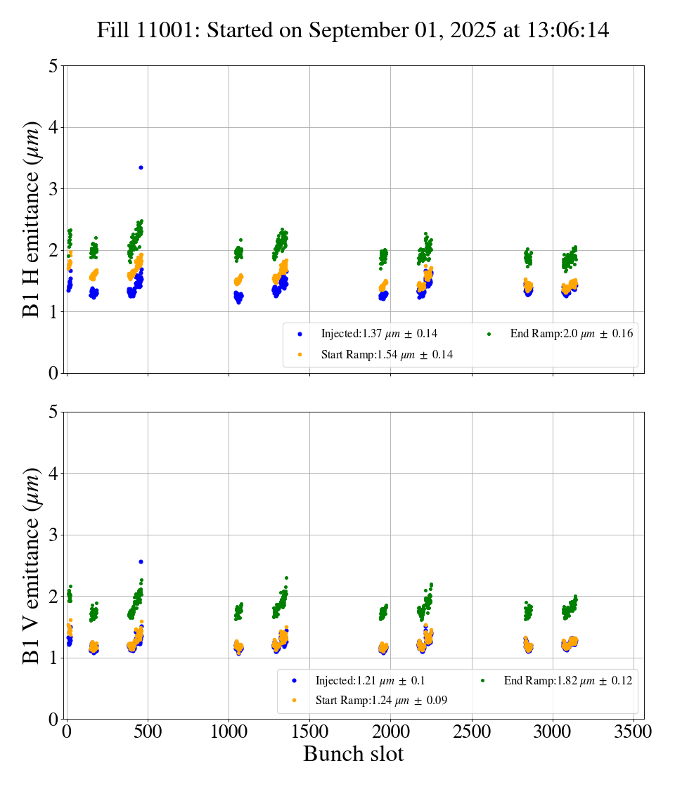
B1 along the cycle

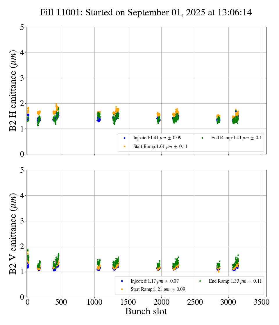
B2 along the cycle

Summary violin plot

Bunch brightness

Beam properties summary

Luminosity
Cross-sections
ADJUST
STABLE BEAM
MIM analysis
RAMP B1 H

RAMP B1 V

RAMP B2 H

RAMP B2 V

STABLE BEAM B1 H

STABLE BEAM B1 V

STABLE BEAM B2 H

STABLE BEAM B2 V

q-Gaussian profile analysis
B1 Horizontal

B1 Vertical

B2 Horizontal

B2 Vertical




