FILL 11027
Summary
start: September 04, 2025 04:21:30 PM UTC
end: September 04, 2025 06:14:33 PM UTC
duration: 0 days 01:53:02.352375
tags:
- MD
comments:
- Validation fill with 1200b
Cycle duration

Beta-functions at the IPs

Crossing angles

Octupoles

Trims
Tune trims

Chromaticity Trims

Intensity
Cycle intensity

Violin BBB intensity

Bunch Length

Bunch Length Fill

Emittance
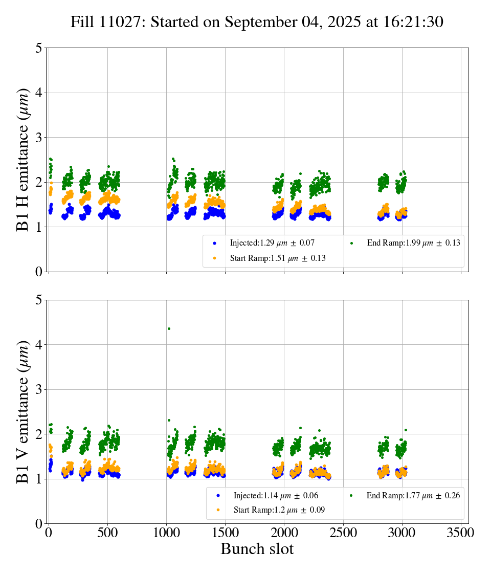
B1 along the cycle

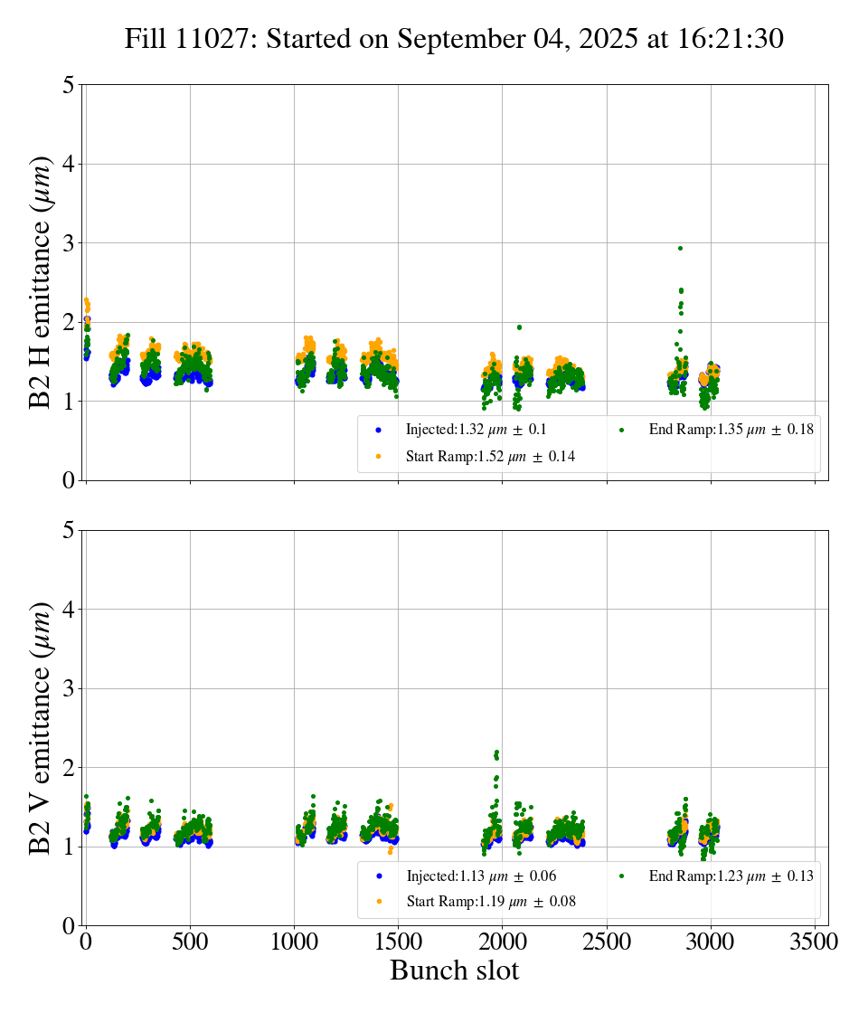
B2 along the cycle

Summary violin plot

Bunch brightness

Beam properties summary

Luminosity
Cross-sections
ADJUST
STABLE BEAM
MIM analysis
RAMP B1 H

RAMP B1 V

RAMP B2 H

RAMP B2 V

STABLE BEAM B1 H

STABLE BEAM B1 V

STABLE BEAM B2 H

STABLE BEAM B2 V

q-Gaussian profile analysis
B1 Horizontal

B1 Vertical

B2 Horizontal

B2 Vertical




