FILL 11057
Summary
start: September 10, 2025 09:16:30 PM UTC
end: September 11, 2025 12:02:42 AM UTC
duration: 0 days 02:46:12.373000
tags:
-
PHYSICS
-
RF_DUMP
comments:
-
Before the injection, short access of ALICE for its cooling problem
-
Just arrived in SB (1 min) when RF trip (M2B2 trip, klystron arc.)
-
Poor lifetime of B1 during the ramp
Cycle duration

Beta-functions at the IPs

Crossing angles

Octupoles

Trims
Tune trims

Chromaticity Trims

Intensity
Cycle intensity

Debunched beam

BBB SB intensity

Violin BBB intensity

SB bunch intensity

Bunch Length

Bunch Length Fill

Emittance
B1 along the cycle

B2 along the cycle

Emittance growth at injection

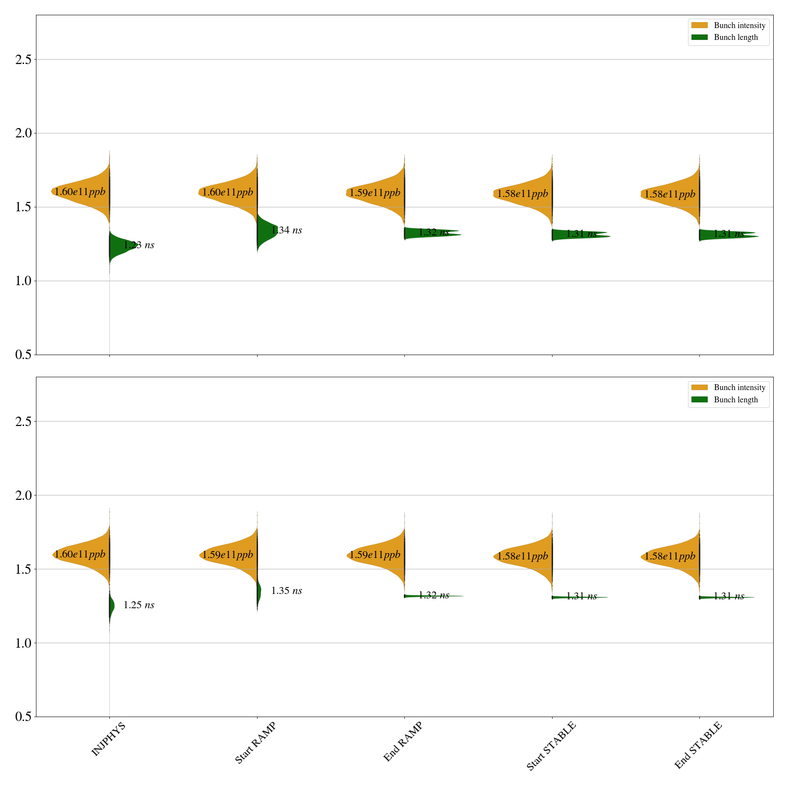
Summary violin plot

Bunch brightness

Beam properties summary

Luminosity
Overview

Luminous Regions

BBB luminosity in SB

Cross-sections
ADJUST





STABLE BEAM








MIM analysis
RAMP B1 H

RAMP B1 V

RAMP B2 H

RAMP B2 V

STABLE BEAM B1 H

STABLE BEAM B1 V

STABLE BEAM B2 H

STABLE BEAM B2 V

q-Gaussian profile analysis
B1 Horizontal

B1 Vertical

B2 Horizontal

B2 Vertical




