FILL 11072
Summary
start: September 15, 2025 12:50:28 PM UTC
end: September 16, 2025 01:05:17 AM UTC
duration: 0 days 12:14:48.518000
tags:
-
PHYSICS
-
PS_DUMP
comments:
-
Some transverse instabilities during the injection (H B1)
-
ALICE low luminosity test: solenoid at 12.5 kA
-
Problem with LHCb luminosity (wrong reading) at the start of SB
-
Q optimzation: +4e-3/1e-3 in Q2H/Q2V
-
QPS problem, tripped all many circuits in RR73 and lost RB.A67
Cycle duration

Beta-functions at the IPs

Crossing angles

Octupoles

Trims
Tune trims

Chromaticity Trims

Intensity
Cycle intensity

Debunched beam

BBB SB intensity

Violin BBB intensity

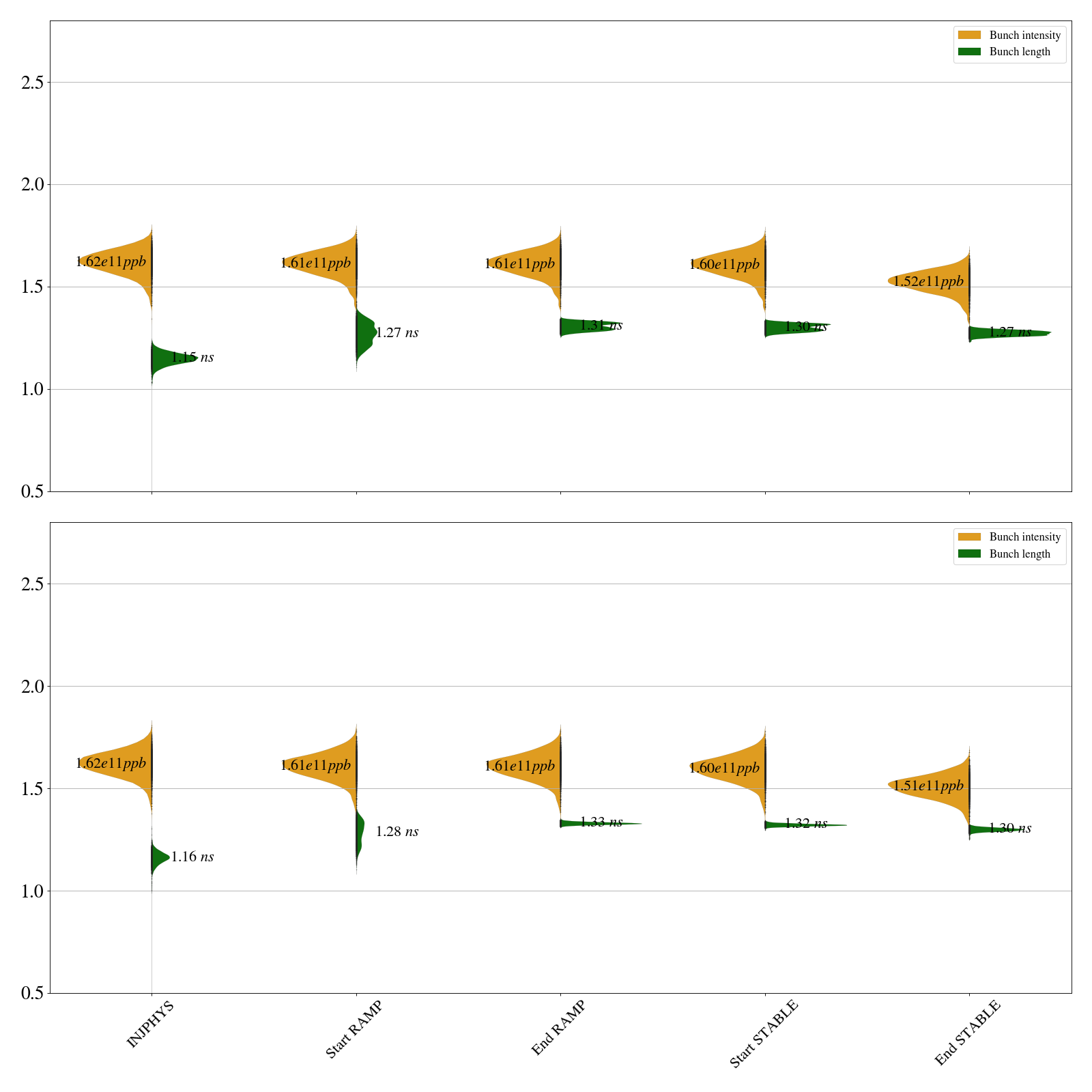
SB bunch intensity

Bunch Length

Bunch Length Fill

Emittance
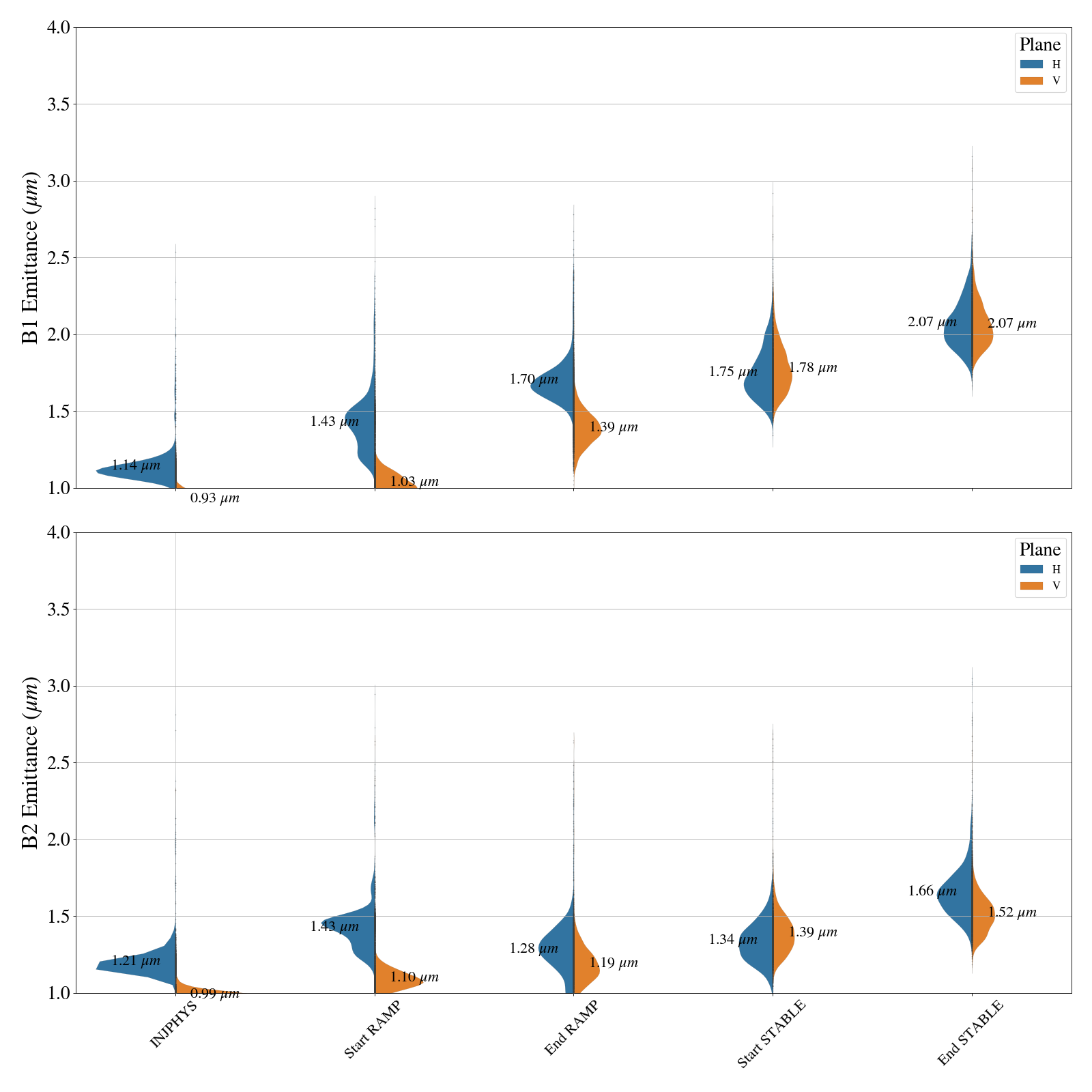
B1 along the cycle

B2 along the cycle

Emittance growth at injection

Summary violin plot

BBB in SB for B1

BBB in SB for B2

Bunch brightness

Beam properties summary

Luminosity
Overview

Luminous Regions

BBB luminosity in SB

Cross-sections
ADJUST





STABLE BEAM








MIM analysis
RAMP B1 H

RAMP B1 V

RAMP B2 H

RAMP B2 V

STABLE BEAM B1 H

STABLE BEAM B1 V

STABLE BEAM B2 H

STABLE BEAM B2 V

q-Gaussian profile analysis
B1 Horizontal

B1 Vertical

B2 Horizontal

B2 Vertical




