FILL 11079
Summary
start: September 17, 2025 12:08:43 PM UTC
end: September 17, 2025 11:38:49 PM UTC
duration: 0 days 11:30:05.881250
tags:
-
PHYSICS
-
EPC_DUMP
comments:
-
B2V tune systematically going down at 450 GeV due to the noisy measurement (cleaning excitation)
-
Very good injection
-
SB declared a bit later than usual (it was forgotten) for that reason more lumi scan than usual
-
In addition lumi scan in adjust is bad for the CO since the CO FB is OFF
-
Tune optimization in +3e-3 in H and +1e-3 in V
-
Dumped on RQD.A45
Cycle duration

Beta-functions at the IPs

Crossing angles

Octupoles

Trims
Tune trims

Chromaticity Trims

Intensity
Cycle intensity

Debunched beam

BBB SB intensity

Violin BBB intensity

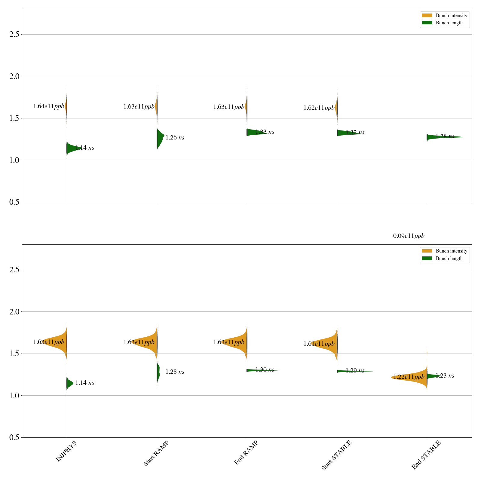
SB bunch intensity

Bunch Length

Bunch Length Fill

Emittance
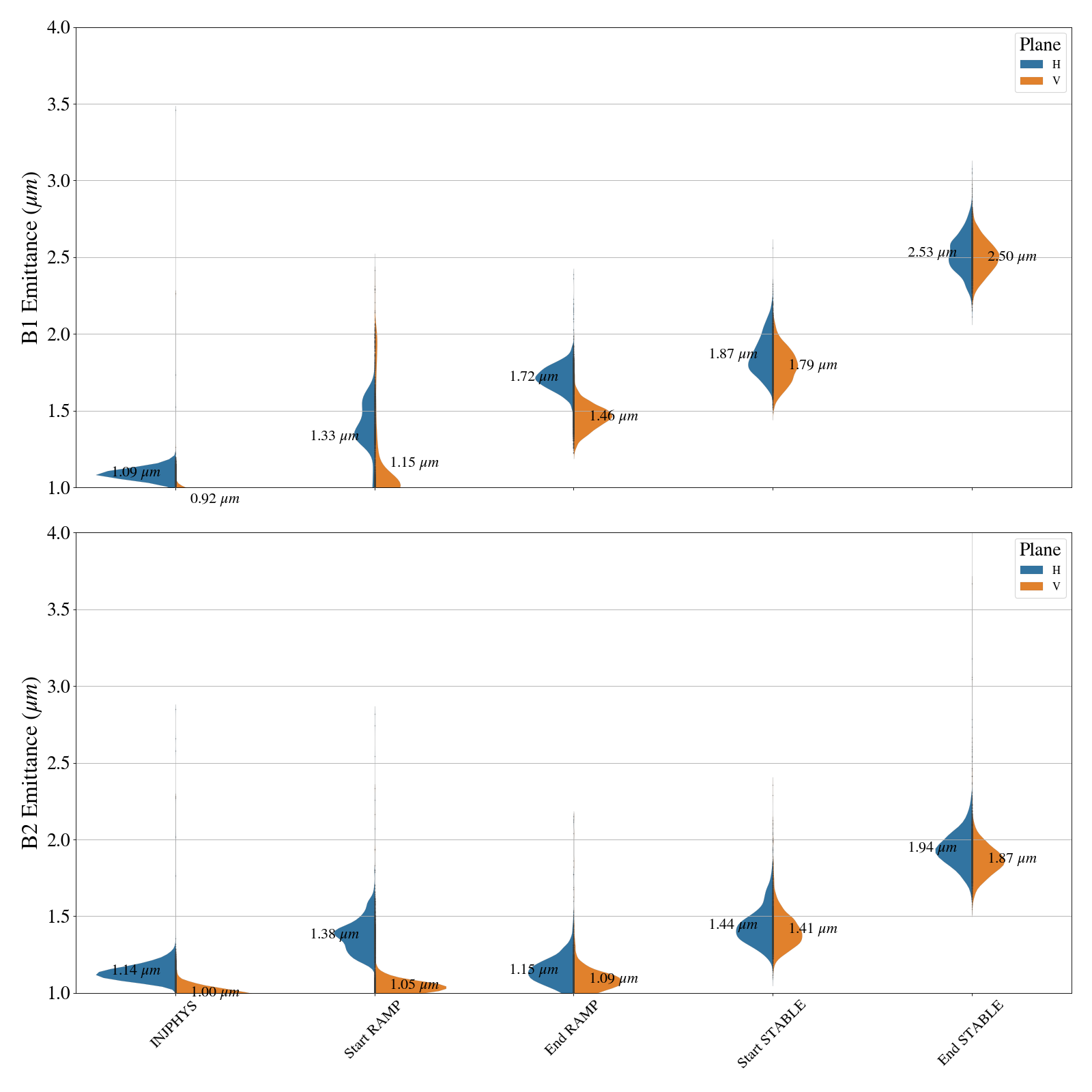
B1 along the cycle

B2 along the cycle

Emittance growth at injection

Summary violin plot

BBB in SB for B1

BBB in SB for B2

Bunch brightness

Beam properties summary

Luminosity
Overview

Luminous Regions

BBB luminosity in SB

Cross-sections
ADJUST





STABLE BEAM








MIM analysis
RAMP B1 H

RAMP B1 V

RAMP B2 H

RAMP B2 V

STABLE BEAM B1 H

STABLE BEAM B1 V

STABLE BEAM B2 H

STABLE BEAM B2 V

q-Gaussian profile analysis
B1 Horizontal

B1 Vertical

B2 Horizontal

B2 Vertical




