FILL 11108
Summary
start: September 26, 2025 12:45:42 AM UTC
end: September 26, 2025 07:28:32 AM UTC
duration: 0 days 06:42:49.915000
tags:
- PHYSICS
comments:
-
IP8 started collisions wih lumi too high and overshoot during beta* leveling
-
Dumped due to RCBXH trip
Cycle duration

Beta-functions at the IPs

Crossing angles

Octupoles

Trims
Tune trims

Chromaticity Trims

Intensity
Cycle intensity

Debunched beam

BBB SB intensity

Violin BBB intensity

SB bunch intensity

Bunch Length

Bunch Length Fill

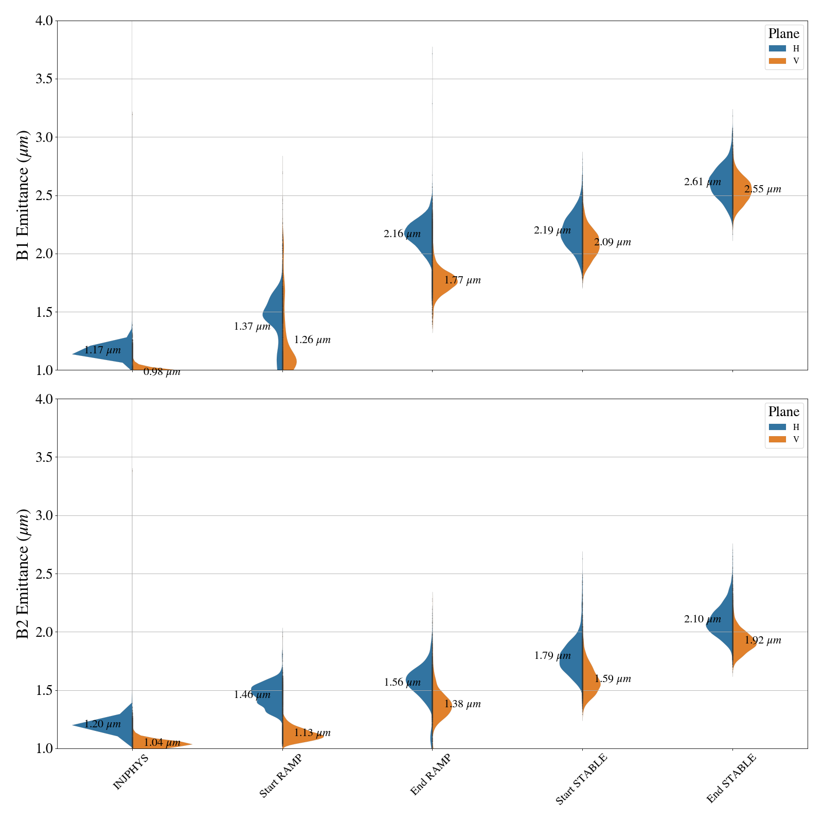
Emittance
B1 along the cycle

B2 along the cycle

Emittance growth at injection

Summary violin plot

BBB in SB for B1

BBB in SB for B2

Bunch brightness

Beam properties summary

Luminosity
Overview

Luminous Regions

BBB luminosity in SB

Cross-sections
ADJUST





STABLE BEAM








MIM analysis
RAMP B1 H

RAMP B1 V

RAMP B2 H

RAMP B2 V

STABLE BEAM B1 H

STABLE BEAM B1 V

STABLE BEAM B2 H

STABLE BEAM B2 V

q-Gaussian profile analysis
B1 Horizontal

B1 Vertical

B2 Horizontal

B2 Vertical




