FILL 11143
Summary
start: October 06, 2025 08:09:32 PM UTC
end: October 06, 2025 10:34:02 PM UTC
duration: 0 days 02:24:30.186375
tags:
- MD
comments:
-
MD15883 3 TeV cycle with HL INDIVs in preparation for 2026 HL ests
-
B1 debunching, started in this fill during ramp, continues in next fills already from injection
-
increased RF voltage in steps at the end
Cycle duration

Beta-functions at the IPs

Crossing angles

Octupoles

Trims
Tune trims

Chromaticity Trims

Intensity
Cycle intensity

Debunched beam

Violin BBB intensity

Bunch Length

Bunch Length Fill

Emittance
B1 along the cycle

B2 along the cycle

Emittance growth at injection

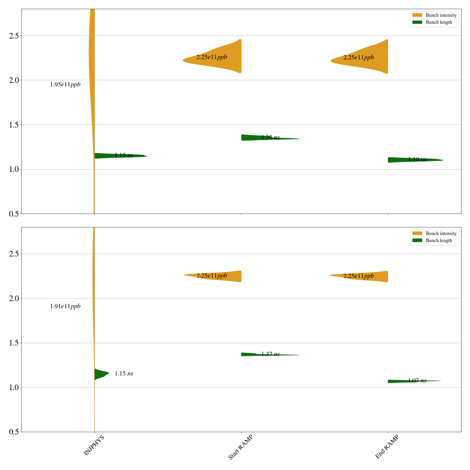
Summary violin plot

Bunch brightness

Beam properties summary

Luminosity
Cross-sections
ADJUST
STABLE BEAM
MIM analysis
RAMP B1 H

RAMP B1 V

RAMP B2 H

RAMP B2 V

STABLE BEAM B1 H

STABLE BEAM B1 V

STABLE BEAM B2 H

STABLE BEAM B2 V

q-Gaussian profile analysis
B1 Horizontal

B1 Vertical

B2 Horizontal

B2 Vertical




